如何最大化母猪繁殖效率?
点击↖硕腾猪业关注我,加★星标★

温馨提示:由于微信公众号试行乱序推送,您可能不再能准时收到推送。为了不错过硕腾猪业消息,请将“硕腾猪业”公众号点亮为星标账号,并常点文末右下角的“在看”
如今,美国的规模化猪场产生的数据量已远超以往,但这些信息却常常分散在各个独立的数据系统中。我们面临的机遇并非简单地 “收集更多数据”,而是要借助现有的整合数据,提炼出切实可行的策略,以提升母猪生产效率。母猪生产效率的具体衡量标准包括:缩短断奶至发情间隔(WEI,wean-to-estrus interval)、提高母猪后续受孕产仔的概率,以及增加后续胎次的窝产仔数。我们的研究证实,通过整合商业母猪场的数据,能够将其转化为针对特定猪舍的精准行动方案,进而有效提升养殖生产力。

本分析依托于2021-2022年间在某商业母猪场开展的六项泌乳试验。该猪场采用单一遗传品系,且在整个研究期间,猪繁殖与呼吸综合征病毒(PRRSV)和猪流行性腹泻病毒(PEDV)检测均为阴性。研究共记录了4300头母猪的泌乳期数据,详细涵盖每日泌乳采食量、母猪与窝重、产仔前后背膘测量数据、交叉寄养情况以及母猪后续的生产性能等信息。研究人员采用广义混合线性模型对每个观测结果的23个变量进行评估,并将试验设为随机效应,以消除试验间的各类变异。
与WEI相关的因素主要有三类:胎次、泌乳期前三天的采食量以及母猪的哺乳仔猪数(图1)。季节是一个关键的混杂因素,这一发现提醒我们,气温变化及其他环境波动或许会放大,甚至掩盖管理措施所产生的实际效果。研究显示,哺育仔猪数量超过15头的母猪,其WEI会延长1.3天。同样,泌乳期前三天每日采食量低于10磅(约4.5公斤)的母猪,相比同期日采食量超过10磅(约4.5公斤)的母猪,WEI也会增加1天。泌乳早期,特别是母猪产仔后的最初72小时,采食量不足会阻碍其代谢功能的恢复,损害子宫修复,进而对后续的繁殖性能造成不利影响。因此,确保母猪在这一关键窗口期获得充足的营养摄入至关重要。

图1 与WEI相关的因素
该图呈现了胎次、产仔后前三天泌乳期平均日采食量(ADFI)及哺乳仔猪数对WEI的影响。图中的柱形代表每个类别的平均WEI,误差线则指示95%上限置信区间。柱形上方的字母表明,不同组间存在显著差异(P<0.05)。
母猪后续能否顺利产仔,关键与四个因素相关:哺乳仔猪数量、死胎率、泌乳期第一周的平均日采食量以及自身体重变化。数据显示,与未出现死胎的母猪相比,只要有一头死胎的母猪,后续产仔率会降低7%;而交叉寄养后哺乳仔猪数超过15头的母猪,比哺乳仔猪数少于12头的母猪,后续产仔率更是下降了12%(图2)。这给猪舍管理带来明确启示:死胎不该只是被存档的统计数字,而应成为需要重点跟进的警示信号。凡是出现死胎的母猪,在泌乳期都要进行密切监测,具体包括:观察体况、记录背膘测量数据、追踪泌乳采食量,以及关注后续的再配种进程。

图2 与后续分娩率相关的因素
该图展示了死胎、哺乳期前七天平均日采食量、哺乳仔猪和体重变化对后续分娩率的影响。柱状图表示各类别的平均后续分娩率,误差柱状图表示95%置信区间上限。柱状图上方的字母表示各组间存在显著差异(P<0.05)。
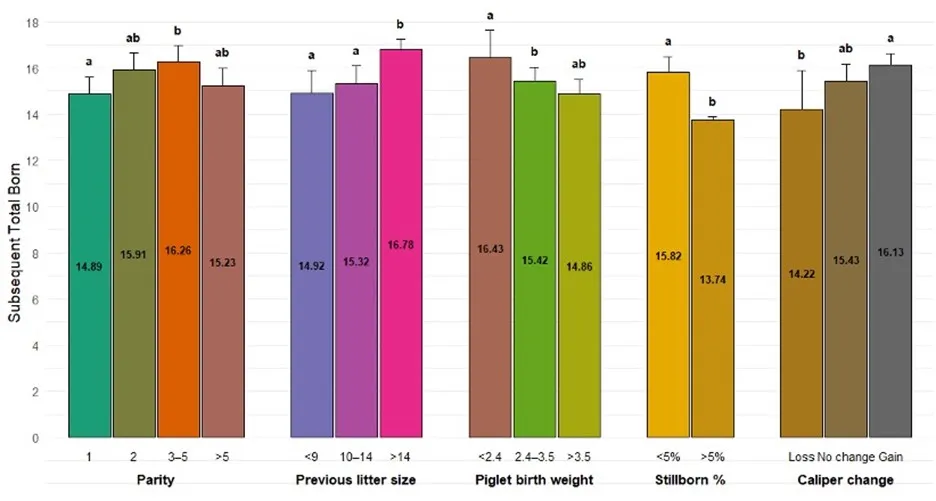
母猪后续的总产仔数中,胎次和前一胎的窝产仔数表现出了预期规律:此前产仔数超过14头的母猪,下一胎平均能多产1头仔猪(图3)。不过,还有两个指标同样值得重点关注。第一个是前一胎的死胎率,它是预测母猪未来生产性能的重要信号。数据显示,死胎率占总产仔数5%以上的母猪,比死胎率低于5%的母猪,后续产仔数要少2头。第二个是背膘厚度的变化。泌乳期背膘厚度单位增加≥1的母猪,后续产仔数会比背膘厚度单位减少1的母猪多2头。此外,该分析还发现母猪体重变化与窝断奶重之间存在关联:如果为了培育出体重较重的断奶仔猪,而过度消耗母猪的身体储备(如脂肪、蛋白质等),会对母猪下一个繁殖周期的生产性能产生不利影响。

图3 影响母猪后续总产仔数的因素
该图呈现了胎次、前一胎产仔数、仔猪出生体重、死胎率及母猪背膘测量值变化对后续产仔数的作用。柱形代表各类别下母猪后续产仔的平均总产仔数,误差线表示 95% 置信区间上限。柱形上方的字母表示组间存在显著差异 (P<0.05)。
结 论
为提升养殖效率,需优先保障母猪泌乳早期的采食量,确保其在产后3~7天内,每日采食量至少达到10磅(约4.5公斤)。同时,要密切监测仔猪交叉寄养操作,避免母猪哺乳负荷过重,窝产仔数过多会同时影响WEI与后续成功产仔的概率。此外,泌乳期间监测母猪的背膘厚度变化也必不可少,这能帮助我们及时识别出需要针对性营养支持的母猪,进而降低死胎风险。
原文链接:https://www.nationalhogfarmer.com/livestock-management/practical-strategies-to-maximize-sow-efficiency
点击下方小程序码,免费猪病问诊
往期内容回顾
点个在看再走吧~

{{item.content}}